- Messages : 1
- Remerciements reçus 1
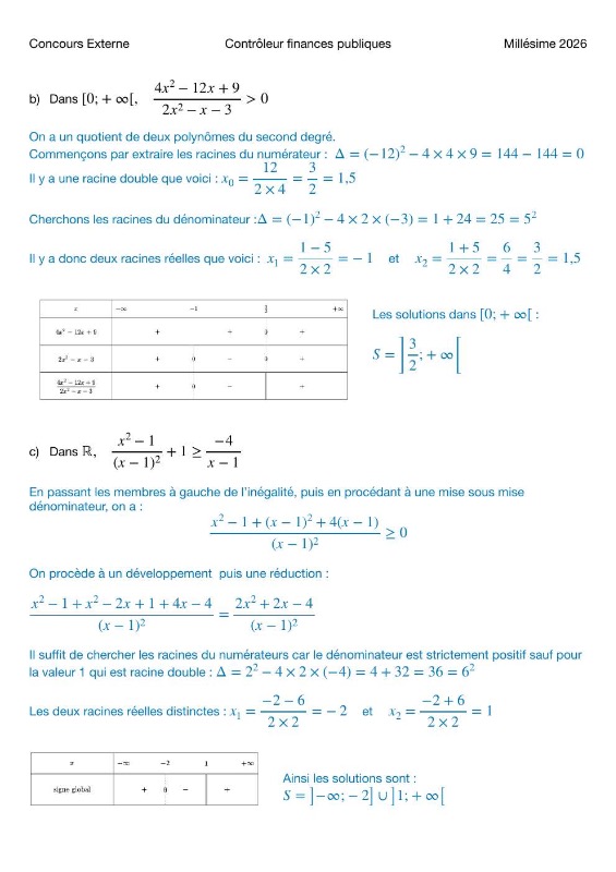
QRC Mathématiques 2026 - Contrôleur Externe
- Portugaljonh
-
Auteur du sujet
- Nouveau
-
Moins
Plus d'informations
il y a 2 mois 5 jours - il y a 2 mois 5 jours #188199
par Portugaljonh
QRC Mathématiques 2026 - Contrôleur Externe a été créé par Portugaljonh
Bonjour
ci-joint une proposition de corrigé pour la partie QRC maths, que j'ai rédigé.
N'hésitez pas à partager vos avis/remarques/impressions.
Vivement le 6 février !
EDIT : Un cafouillage de ma part pour l'exercice 1, question 3.
La question est : montrer que la suite est convergente.
Réponse : la suite est décroissante, minorée, donc converge.
ci-joint une proposition de corrigé pour la partie QRC maths, que j'ai rédigé.
N'hésitez pas à partager vos avis/remarques/impressions.
Vivement le 6 février !
EDIT : Un cafouillage de ma part pour l'exercice 1, question 3.
La question est : montrer que la suite est convergente.
Réponse : la suite est décroissante, minorée, donc converge.
Dernière édition: il y a 2 mois 5 jours par Portugaljonh. Raison: Erreur dans la pièce jointe
Les utilisateur(s) suivant ont remercié: Yonji
Connexion ou Créer un compte pour participer à la conversation.
- Yonji
-
- ONEpiece
-
Moins
Plus d'informations
- Messages : 6257
- Remerciements reçus 7337
il y a 2 mois 1 jour #188257
par Yonji
Viva Eiichiro ODA ! Viva ONE PIECE ! LUFFY ne sait pas nager !
Réponse de Yonji sur le sujet QRC Mathématiques 2026 - Contrôleur Externe
Merci
Viva Eiichiro ODA ! Viva ONE PIECE ! LUFFY ne sait pas nager !
Connexion ou Créer un compte pour participer à la conversation.
- rdstln
-
- Nouveau
-
Moins
Plus d'informations
- Messages : 5
- Remerciements reçus 10
il y a 1 mois 3 semaines #188397
par rdstln
Réponse de rdstln sur le sujet QRC Mathématiques 2026 - Contrôleur Externe
Merci à toi, j'étais rassuré de voir que nous sommes tombés sur les mêmes résultats.
Les utilisateur(s) suivant ont remercié: Yonji
Connexion ou Créer un compte pour participer à la conversation.